地址:山东省青岛市崂山区香港东路195号上实中心6号楼906室

千图网:41922870
塑料生产加工和使用过程中,由于材料本身的结构特点和加工温度、氧、光、空气中的污染物等外部环境因素的影响,极易发生老化降解,在外观视觉上的变化主要表现为变色、粉化、脆裂等,在宏观性能上的变化主要表现在断裂强力和断裂伸长率的急剧下降,制品的使用寿命大大缩短,造成材料的极大浪费,废弃的制品在自然条件下又很难降解而重归自然,进而给环境造成了污染。
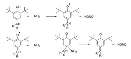
抗氧剂通常是解决塑料老化的有效方法之一,其中受阻酚类抗氧剂以其优异的性能在塑料改性行业得到广泛的应用。但是受阻酚类抗氧剂容易与空气中的污染物氮氧化合物发生作用而泛黄,即气熏黄变,从而使制品在使用一段时间后颜色发生改变,视觉效果变差,影响制品的美观。

受阻酚抗氧剂气熏黄变机理